¿ËÈÕ£¬Ò¼ºÅÓéÀÖAPP»¯Ñ§¹¤³ÌѧԺÁõʫӽ½ÌÊÚÔÚ¾ÛºÏÎï°ëµ¼Ìå¹â´ß»¯ÖÆÇâ·½ÃæÈ¡µÃÍ»ÆÆÐÔÏ£Íû£¬ÔÚChemical ScienceÉÏÒÔ¡°Ultrahigh photocatalytic hydrogen evolution of linear conjugated terpolymer enabled by an ultra-low ratio of benzothiadiazole monomer¡±ÎªÌâ½ÒÏþÑо¿ÂÛÎÄ¡£¡£¡£Ò¼ºÅÓéÀÖAPPΪµÚÒ»Íê³Éµ¥Î»£¬Áõʫӽ½ÌÊÚΪ¸ÃÂÛÎĵÄͨѶ×÷Õß¡£¡£¡£
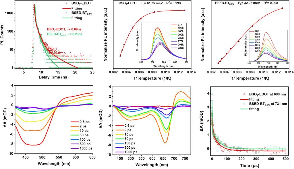
ÈýÔª¹²éî¾ÛºÏÎï°ëµ¼ÌåÖÆÇâ¹â´ß»¯¼Á£¬ÒòÆä½á¹¹¶àÑùÐÔ¡¢¡¢ÐÔ×Ó¼°ÐÔÄܵĸ»ºñ¿Éµ÷¿ØÐÔ£¬½üÄêÊܵ½Ñо¿Ö°Ô±µÄÆÕ±é¹Ø×¢¡£¡£¡£È»¶ø£¬ÈýÔª¾ÛºÏÎïµÄµÚÈý×é·ÖÌí¼Ó±ÈÀýÍùÍù´óÓÚ20%¡£¡£¡£Í¨¹ýµÍ±ÈÀýµÚÈý×é·ÖµÄÌí¼Ó£¬ÊµÏÖÈýÔª¾ÛºÏÎïµÄ¸ßЧ¹â´ß»¯ÖÆÇâÈÔÊÇÒªº¦ÐÔÌôÕ½¡£¡£¡£»£»ùÓÚǰÆÚÑо¿£¨Chemical Science2022, 1725;Macromolecules2024, 7208;J. Colloid & Interface Sci.2025, 688, 818;Chem. Commun.2022, 12680;J. Mater. Chem. A2021, 5787;J. Mater. Chem. A2020, 5890;J. Mater. Chem. A2019, 24222£©£¬±¾ÂÛÎÄͨ¹ýÔ×Ó¾¼ÃµÄC¡ªHÖ±½Ó·¼»ù»¯ÀÖ³ÉÖÆ±¸³öº¬Óг¬µÍ±ÈÀý£¨0.5 mol%£©±½²¢àç¶þßò£¨BT£©µÄÐÂÐÍÈýÔª¹²éî¾ÛºÏÎïBSED-BT0.5%£¨Í¼1£©£¬ÓÃÓÚ¹â´ß»¯ÁѽâË®ÖÆÇâ¡£¡£¡£ÎÞÐèÌí¼ÓPtÖú´ß¼Á£¬¾ÛºÏÎïBSED-BT0.5%¼´¿ÉÌåÏÖ³ö¼«¸ßµÄ¹â´ß»¯ÎöÇâ»îÐÔ£¬Ôڿɼû¹âÕÕÉäÏ£¨¦Ë¡Ý420 nm£©£¬ÎöÇâËÙÂʿɴï222.28 mmol h-1g-1£¬±í¹ÛÁ¿×Ó²úÂÊ£¨AQY£©ÔÚ475 nmϸߴï24.35%3 mg BSED-BT0.5%¹â´ß»¯¼Á¹âÕÕÁ½Ð¡Ê±ºó¼´¿É±¬·¢80 mLÇâÆø¡£¡£¡£ÖµµÃ×¢ÖØµÄÊÇ£¬¸Ã´ß»¯¼ÁÔÚ¶¬ÈÕÑô¹âÕÕÉäÏ£¬ÈÔÄܼá³Ö141.37 mmol h-1g-1µÄÎöÇâËÙÂÊ¡£¡£¡£ÏµÍ³µÄ»úÀíÑо¿Åú×¢£¬ÈýÔª¾ÛºÏÎïBSED-BT0.5%¾ßÓиü¿í·ºµÄ¹âÎüÊÕÒÔ¼°¸ü¸ßµÄH+Ç׺ÍÁ¦¡£¡£¡£fs-TA֤ʵBSED-BT0.5%¾ßÓиü¸ßµÄ·Ç·øÉäÂÊ£¬¿Éʹ¸ü¶àµÄ¹âÉúµç×Ó¿ìËÙ×ªÒÆÖÁ»îÐÔλµã¡£¡£¡£±ðµÄ£¬¸Ã¾ÛºÏÎï¾ßÓм«µÍµÄ¼¤×ÓÁ¬ÏµÄÜ£¬¿É±¬·¢³¤ÊÙÃüÔØÁ÷×Ó£¬´Ó¶øÒÔ¸ü¸ßЧµÄ·½Ê½½«H+»¹Ô³ÉH2£¨Í¼1£¬Í¼2£©¡£¡£¡£¸ÃЧ¹ûΪ¸ßÐÔÄܾۺÏÎï¹â´ß»¯¼ÁµÄÉè¼ÆÌṩÁËÈ«ÐÂ˼Ð÷¡£¡£¡£

ͼ1 C¡ªHÖ±½Ó·¼»ù»¯ºÏ³ÉBTÀàÈýÔª¹²¾ÛÎï¹â´ß»¯¼Á£¨×󣩼°Æä³¬¿ìµç×Ó×ªÒÆÍ¾¾¶£¨ÓÒ£©

ͼ2 ʱ¼ä·Ö±æÓ«¹â¡¢¡¢±äÎÂÓ«¹â¼°·ÉÃë˲̬ÎüÊÕ¹âÆ×
¾ÝϤ£¬¡¶Chemical Science¡·£¨ÖпÆÔº´óÀàÒ»ÇøTopÆÚ¿¯£¬Nature IndexÆÚ¿¯£©´´¿¯ÓÚ2010Ä꣬ΪӢ¹ú»Ê¼Ò»¯Ñ§»áÆì½¢¿¯ÎÖ÷Òª½ÒÏþ»¯Ñ§ÁìÓò×îÇ°ÑØ¡¢¡¢×îÖ÷Òª¡¢¡¢×î¾ßÌôÕ½ÐԵĸßÓ°ÏìÁ¦Ñо¿Ð§¹û£¬Êǹú¼Ê»¯Ñ§ÁìÓò×î¾ßÓ°ÏìÁ¦µÄÈý´ó×ÛºÏÐÔѧÊõÆÚ¿¯Ö®Ò»£¬Ò²Êǹú¼ÊÉÏȨºâ¿ÆÑÐС×éÑо¿Ë®Æ½µÄÖ÷Òª±ê¼ÇÐÔÆÚ¿¯¡£¡£¡£ÂÛÎÄÁ´½Ó£º£ºhttps://doi.org/10.1039/D5SC01438G¡£¡£¡£
£¨ÎÄ/ͼ »¯¹¤Ñ§Ôº£©
׫¸å£º£ºÑî·¼ ³õÉ󣺣ºÓ೤ÁÖ Àî×Ú±¦ ¸´É󣺣º·½ÂÔ ÖÕÉ󣺣ºÕź£Ã÷ ºØ¼Þ×Ë