¿ËÈÕ£¬£¬»¯Ñ§¹¤³ÌѧԺÁõʫӽ½ÌÊÚÔÚ¾ÛºÏÎï°ëµ¼Ìå¹â´ß»¯ÖÆÇâ·½ÃæÈ¡µÃÍ»ÆÆÐÔÏ£Íû£¬£¬ÔÚChemical ScienceÉÏÒÔ¡°Ultrahigh photocatalytic hydrogen evolution of linear conjugated terpolymer enabled by an ultra-low ratio of benzothiadiazole monomer¡±ÎªÌâ½ÒÏþÑо¿ÂÛÎÄ¡£¡£¡£¡£¡£Áõʫӽ½ÌÊÚΪ¸ÃÂÛÎÄͨѶ×÷Õߣ¬£¬Ò¼ºÅÓéÀÖAPPΪµÚÒ»Íê³Éµ¥Î»¡£¡£¡£¡£¡£
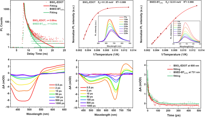
ÈýÔª¹²éî¾ÛºÏÎï°ëµ¼ÌåÖÆÇâ¹â´ß»¯¼Á£¬£¬ÒòÆä½á¹¹¶àÑùÐÔ¡¢¡¢¡¢ÐÔ×Ó¼°ÐÔÄܵĸ»ºñ¿Éµ÷¿ØÐÔ£¬£¬½üÄêÊܵ½Ñо¿Ö°Ô±µÄÆÕ±é¹Ø×¢¡£¡£¡£¡£¡£È»¶ø£¬£¬ÈýÔª¾ÛºÏÎïµÄµÚÈý×é·ÖÌí¼Ó±ÈÀýÍùÍù¡Ý 20%¡£¡£¡£¡£¡£Í¨¹ýµÍ±ÈÀýµÚÈý×é·ÖµÄÌí¼Ó£¬£¬ÊµÏÖÈýÔª¾ÛºÏÎïµÄ¸ßЧ¹â´ß»¯ÖÆÇâÈÔÊÇÒªº¦ÐÔÌôÕ½¡£¡£¡£¡£¡£»ùÓÚǰÆÚÑо¿£¨Chemical Science2022, 1725;Macromolecules2024, 7208;J. Colloid & Interface Sci.2025, 688, 818;Chem. Commun.2022, 12680;J. Mater. Chem. A2021, 5787;J. Mater. Chem. A2020, 5890;J. Mater. Chem. A2019, 24222£©£¬£¬±¾ÂÛÎÄͨ¹ýÔ×Ó¾¼ÃµÄC?HÖ±½Ó·¼»ù»¯ÀÖ³ÉÖÆ±¸³öº¬Óг¬µÍ±ÈÀý£¨0.5 mol%£©±½²¢àç¶þßò£¨BT£©µÄÐÂÐÍÈýÔª¹²éî¾ÛºÏÎïBSED-BT0.5%£¨Í¼1£©£¬£¬ÓÃÓÚ¹â´ß»¯ÁѽâË®ÖÆÇâ¡£¡£¡£¡£¡£ÎÞÐèÌí¼ÓPtÖú´ß¼Á£¬£¬¾ÛºÏÎïBSED-BT0.5%¼´¿ÉÌåÏÖ³ö¼«¸ßµÄ¹â´ß»¯ÎöÇâ»îÐÔ£¬£¬Ôڿɼû¹âÕÕÉäÏ£¨¦Ë¡Ý420 nm£©£¬£¬ÎöÇâËÙÂʿɴï222.28 mmol h-1g-1£¬£¬±í¹ÛÁ¿×Ó²úÂÊ£¨AQY£©ÔÚ475 nmϸߴï24.35%3 mg BSED-BT0.5%¹â´ß»¯¼Á¹âÕÕÁ½Ð¡Ê±ºó¼´¿É±¬·¢80 mLÇâÆø¡£¡£¡£¡£¡£ÖµµÃ×¢ÖØµÄÊÇ£¬£¬¸Ã´ß»¯¼ÁÔÚ¶¬ÈÕÑô¹âÕÕÉäÏ£¬£¬ÈÔÄܼá³Ö141.37 mmol h-1g-1µÄÎöÇâËÙÂÊ¡£¡£¡£¡£¡£ÏµÍ³µÄ»úÀíÑо¿Åú×¢£¬£¬ÈýÔª¾ÛºÏÎïBSED-BT0.5%¾ßÓиü¿í·ºµÄ¹âÎüÊÕÒÔ¼°¸ü¸ßµÄH+Ç׺ÍÁ¦¡£¡£¡£¡£¡£fs-TA֤ʵBSED-BT0.5%¾ßÓиü¸ßµÄ·Ç·øÉäÂÊ£¬£¬¿Éʹ¸ü¶àµÄ¹âÉúµç×Ó¿ìËÙ×ªÒÆÖÁ»îÐÔλµã¡£¡£¡£¡£¡£±ðµÄ£¬£¬¸Ã¾ÛºÏÎï¾ßÓм«µÍµÄ¼¤×ÓÁ¬ÏµÄÜ£¬£¬¿É±¬·¢³¤ÊÙÃüÔØÁ÷×Ó£¬£¬´Ó¶øÒÔ¸ü¸ßЧµÄ·½Ê½½«H+»¹Ô³ÉH2£¨Í¼1¼°2£©¡£¡£¡£¡£¡£¸ÃЧ¹ûΪ¸ßÐÔÄܾۺÏÎï¹â´ß»¯¼ÁµÄÉè¼ÆÌṩÁËÈ«ÐÂ˼Ð÷¡£¡£¡£¡£¡£


ͼ1£º£º£ºC?HÖ±½Ó·¼»ù»¯ºÏ³ÉBTÀàÈýÔª¹²¾ÛÎï¹â´ß»¯¼Á£¨×󣩼°Æä³¬¿ìµç×Ó×ªÒÆÍ¾¾¶Ê¾Òâͼ£¨ÓÒ£©

ͼ2£º£º£ºÊ±¼ä·Ö±æÓ«¹â¡¢¡¢¡¢±äÎÂÓ«¹â¡¢¡¢¡¢¼°·ÉÃë˲̬ÎüÊÕ¹âÆ×ͼ
Áõʫӽ½ÌÊÚΪҼºÅÓéÀÖAPPÒý½øµÄ¸ßÌõÀíÈ˲ţ¬£¬ÈëÑ¡2024ÄêÈ«Çòǰ2%¶¥¼â¿ÆÑ§¼Ò¡°Äê¶È¿ÆÑ§Ó°ÏìÁ¦ÅÅÐаñ¡±°ñµ¥£¬£¬ºã¾ÃÖÂÁ¦ÓÚ¾ÛºÏÎï°ëµ¼ÌåºÏ³É¼°ÐÂÄÜÔ´Ó¦ÓÃÑо¿£¬£¬ÈçÌ«ÑôÄÜµç³Ø¼°¹â´ß»¯ÖÆÇâ¡£¡£¡£¡£¡£ÒÔµÚÒ»Íê³ÉÈË»ñ½Î÷Ê¡×ÔÈ»¿ÆÑ§¶þµÈ½±1Ï£¬Ö÷³Ö¹ú¼Ò»ù½ð3Ïî¡£¡£¡£¡£¡£ÒÔµÚÒ»×÷Õß»òͨѶ×÷Õß½ÒÏþSCIÂÛÎÄ80ÓàÆª¡£¡£¡£¡£¡£½üÄêÀ´×÷Óý²©Ê¿½áÒµÉú3Ãû£¬£¬Ë¶Ê¿½áÒµÉú15Ãû£¬£¬ÆäÖÐÊ¡¼¶ÓÅÒì˶ʿÂÛÎÄ3ÈË¡£¡£¡£¡£¡£
¡¶Chemical Science¡·£¨ÖпÆÔº´óÀàÒ»ÇøTopÆÚ¿¯£¬£¬Nature IndexÆÚ¿¯£©´´¿¯ÓÚ2010Ä꣬£¬ÎªÓ¢¹ú»Ê¼Ò»¯Ñ§»áÆì½¢¿¯Î£¬Ö÷Òª½ÒÏþ»¯Ñ§ÁìÓò×îÇ°ÑØ¡¢¡¢¡¢×îÖ÷Òª¡¢¡¢¡¢×î¾ßÌôÕ½ÐԵĸßÓ°ÏìÁ¦Ñо¿Ð§¹û£¬£¬Êǹú¼Ê»¯Ñ§ÁìÓò×î¾ßÓ°ÏìÁ¦µÄÈý´ó×ÛºÏÐÔѧÊõÆÚ¿¯Ö®Ò»£¬£¬Ò²Êǹú¼ÊÉÏȨºâ¿ÆÑÐС×éÑо¿Ë®Æ½µÄÖ÷Òª±ê¼ÇÐÔÆÚ¿¯¡£¡£¡£¡£¡£ÂÛÎÄÁ´½Ó£º£º£ºhttps://doi.org/10.1039/D5SC01438G
׫¸å£º£º£ºÑî·¼ Éó¸å£º£º£ºÓ೤ÁÖ Ç©·¢£º£º£ºËåÒà¿É